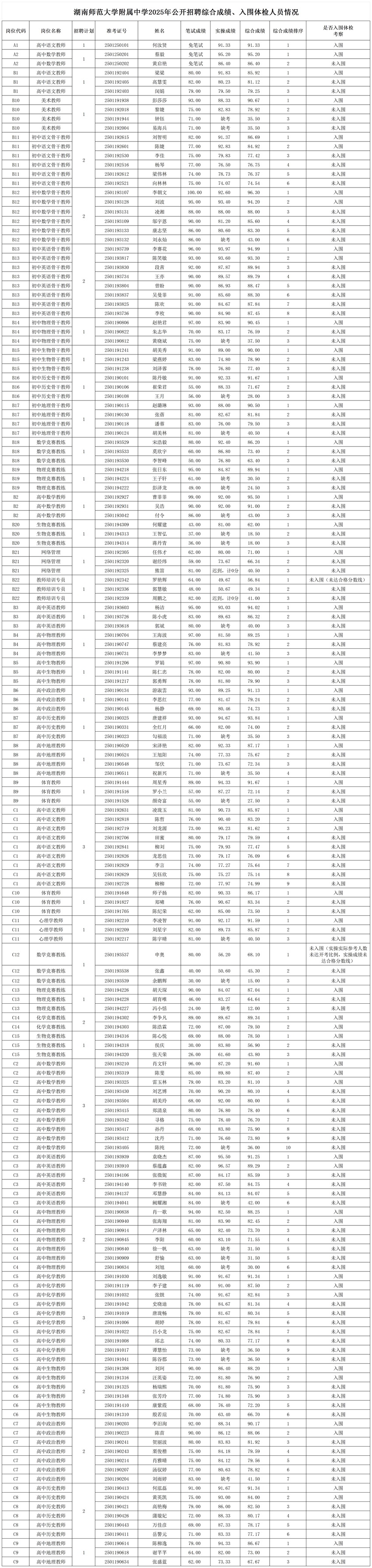
湖南师范大学附属中学2025年公开招聘综合成绩及入围体检人员名单公示
在省人社厅等上级主管部门的领导与指导下,我校2025年公开招聘笔试、实际操作能力测试、资格初审等工作已结束。根据《湖南省事业单位公开招聘人员办法》(湘人社发〔2019〕1号)精神和《湖南师范大学附属中学2025年公开招聘公告》要求,各招聘岗位均根据应聘人员综合成绩从高分到低分的顺序,按岗位招聘计划1:1的比例等额确定体检对象。现将综合成绩及入围体检人员名单予以公示(详见附件)。
公示时间为三个工作日(2025年2月10日-2月12日)。如对拟入围体检人员有异议,请在公示期内以书面形式向学校纪检部门反映。反映情况须使用真实姓名和联系方式,匿名信函将不予受理。近期,学校将根据公开招聘公告要求开展体检、考察等工作,相关安排将另行通知,请入围考生保持通讯畅通。
咨询电话:校人力资源管理中心0731-88875099
监督电话:校纪检监察室0731-88645399
学校地址:长沙市岳麓区桃子湖路48号,邮政编码:410006
公示时间为三个工作日(2025年2月10日-2月12日)。如对拟入围体检人员有异议,请在公示期内以书面形式向学校纪检部门反映。反映情况须使用真实姓名和联系方式,匿名信函将不予受理。近期,学校将根据公开招聘公告要求开展体检、考察等工作,相关安排将另行通知,请入围考生保持通讯畅通。
咨询电话:校人力资源管理中心0731-88875099
监督电话:校纪检监察室0731-88645399
学校地址:长沙市岳麓区桃子湖路48号,邮政编码:410006

湖南师范大学附属中学
2025年2月10日
2025年2月10日
